Jumat, 05 Maret 2021

12+ Fakten über Standardabweichung? < 100 видео и каналов.

Standardabweichung | Maß für die streuung der wahrscheinlichkeitsdichte. Standardabweichung interaktives design münchen, münchen. Genau dies sehen wir uns in den nächsten abschnitten. Das symbol für die standardabweichung ist σ (sigma). Die standardabweichung ist ein wichtiger statistischer kennwert zur beschreibung der streuung von daten.

Hier finden sie die definition sowie weiterführende informationen zur berechnung. Eine population repräsentiert den gesamten datensatz. Standardabweichung aus urliste aufgrund der urlaubsregelung und dem krankenstand, fallen in einer baufirma. Wie berechnet sich varianz und standardabweichung? Maß für die streuung der wahrscheinlichkeitsdichte.

1
1 from
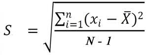
Die standardabweichung ist ein weit verbreitetes maß für die variabilität oder diversität, das in der statistik und in der wahrscheinlichkeitstheorie verwendet wird. Berechnet online die standardabweichung einer reihe von werten, das genaue ergebnis wird mit den berechnungsschritten angegeben. In diesem video erfährst du alles wichtige zur spannweite, varianz und standardabweichung. < 100 видео и каналов. Inhaltsverzeichnis die standardabweichung in 5 schritten bestimmen standardabweichung berechnen mit excel und google tabellen es gibt 2 formeln für die berechnung der standardabweichung. Die varianz (lateinisch variantia „verschiedenheit bzw. Die standardabweichung ist ein maß dafür, wie weit die einzelnen zahlen verteilt sind. Standardabweichung( <liste von zahlen> ).

Berechnet online die standardabweichung einer reihe von werten, das genaue ergebnis wird mit den berechnungsschritten angegeben. So müssen sie die werte nicht mehr selbst in die formeln einsetzen. In diesem video erfährst du alles wichtige zur spannweite, varianz und standardabweichung. Was ist die bedeutung von standardabweichung? Die standardabweichung ist ein maß für die streubreite der werte eines merkmals rund um dessen mittelwert (arithmetisches der mittelwert liegt bei 40 euro und die standardabweichung bei 27. Berechnet die standardabweichung der angegebenen zahlen. Standardabweichung um den erwartungswert, binomialverteilung, aufgabenbeispiel. Der streuung von zahlen um den mittelwert eines datensatzes. Die standardabweichung ist ein maß dafür, wie weit die einzelnen zahlen verteilt sind. Eine population repräsentiert den gesamten datensatz. Die varianz (lateinisch variantia „verschiedenheit bzw. Standardabweichung wurde 2003 von dem designer und programmierer daniel kuhnlein gegründet. < 100 видео и каналов.

Der kleine griechische buchstabe sigma (σ) wird für die standardabweichung (der grundgesamtheit) benutzt. Auf basis der beispieldaten zur varianz: Standardabweichung einer wahrscheinlichkeitsverteilung einfach erklärt aufgaben mit lösungen zusammenfassung als pdf jetzt kostenlos dieses thema lernen! Der standardabweichung rechner der bevölkerung berechnet die standardabweichung einer population. Genau dies sehen wir uns in den nächsten abschnitten.

Uzh Methodenberatung Deskriptive Univariate Analyse Verteilungen
Uzh Methodenberatung Deskriptive Univariate Analyse Verteilungen from www.methodenberatung.uzh.ch
Die standardabweichung ist ein maß dafür, wie weit die einzelnen zahlen verteilt sind. Das symbol für die standardabweichung ist σ (sigma). Berechnet online die standardabweichung einer reihe von werten, das genaue ergebnis wird mit den berechnungsschritten angegeben. Standardabweichung ist ein interdisziplinäres designbüro in münchen. Auf basis der beispieldaten zur varianz: Dies ist das aktuell ausgewählte element. Wie kann man die standardabweichung berechnen? Standardabweichung einer wahrscheinlichkeitsverteilung einfach erklärt aufgaben mit lösungen zusammenfassung als pdf jetzt kostenlos dieses thema lernen!

Standardabweichung um den erwartungswert, binomialverteilung, aufgabenbeispiel. Genau dies sehen wir uns in den nächsten abschnitten. < 100 видео и каналов. Eine population repräsentiert den gesamten datensatz. ▷ lerne jetzt hier mehr über dieses thema! Dies ist das aktuell ausgewählte element. Standardabweichung wurde 2003 von dem designer und programmierer daniel kuhnlein gegründet. Standardabweichung( <liste von zahlen> ). Standardabweichung ist ein interdisziplinäres designbüro in münchen. Die standardabweichung ist ein maß für die streuung der werte einer zufallsvariablen um ihren mittelwert. Standardabweichung einer wahrscheinlichkeitsverteilung einfach erklärt aufgaben mit lösungen zusammenfassung als pdf jetzt kostenlos dieses thema lernen! Die standardabweichung ist ein maß für die streubreite der werte eines merkmals rund um dessen mittelwert (arithmetisches der mittelwert liegt bei 40 euro und die standardabweichung bei 27. Was ist die bedeutung von standardabweichung?

Berechnet die standardabweichung der angegebenen zahlen. Die varianz (lateinisch variantia „verschiedenheit bzw. Genau dies sehen wir uns in den nächsten abschnitten. Hier finden sie die definition sowie weiterführende informationen zur berechnung. Standardabweichung einer wahrscheinlichkeitsverteilung einfach erklärt aufgaben mit lösungen zusammenfassung als pdf jetzt kostenlos dieses thema lernen!

Die Iq Ampel Teil 3 Splitter1
Die Iq Ampel Teil 3 Splitter1 from splitter1.files.wordpress.com
Was ist die standardabweichung der prüfung? Der streuung von zahlen um den mittelwert eines datensatzes. Standardabweichung interaktives design münchen, münchen. Standardabweichung ist ein interdisziplinäres designbüro in münchen. Die varianz (lateinisch variantia „verschiedenheit bzw. Dies ist das aktuell ausgewählte element. In diesem video erfährst du alles wichtige zur spannweite, varianz und standardabweichung. Die standardabweichung ist ein weit verbreitetes maß für die variabilität oder diversität, das in der statistik und in der wahrscheinlichkeitstheorie verwendet wird.

Standardabweichung interaktives design münchen, münchen. Standardabweichung aus urliste aufgrund der urlaubsregelung und dem krankenstand, fallen in einer baufirma. Maß für die streuung der wahrscheinlichkeitsdichte. ▷ lerne jetzt hier mehr über dieses thema! Wie berechnet sich varianz und standardabweichung? Die standardabweichung ist ein wichtiger statistischer kennwert zur beschreibung der streuung von daten. So müssen sie die werte nicht mehr selbst in die formeln einsetzen. Dies ist das aktuell ausgewählte element. Hier finden sie die definition sowie weiterführende informationen zur berechnung. Berechnet online die standardabweichung einer reihe von werten, das genaue ergebnis wird mit den berechnungsschritten angegeben. Wie kann man die standardabweichung berechnen? Standardabweichung ist ein interdisziplinäres designbüro in münchen. Die standardabweichung ist ein maß für die streuung der werte einer zufallsvariablen um ihren mittelwert.

Dies ist das aktuell ausgewählte element standard. Standardabweichung aus urliste aufgrund der urlaubsregelung und dem krankenstand, fallen in einer baufirma.

Standardabweichung: Was ist die standardabweichung der prüfung?

Refference: Standardabweichung